
Analisis mengenai dampak lingkungan AMDAL – Pengertian , Peran, Kegunaan, dan Perlunya AMDAL
Analisis Mengenai Dampak Lingkungan AMDAL – Pengertian , Peran, Kegunaan, dan Perlunya AMDAL Analisis Mengenai ...

Yang dimaksud dengan gerak lurus adalah gerak yang lintasannya berupa garis lurus. Contoh gerak lurus adalah gerak mobil di jalan ...

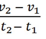
Sebuah benda yang sedang bergerak terkadang mengubah kecepatannya. sehingga dikatakan benda tersebut dipercepat atau diperlambat. Karena yang berubah adalah kecepatan ...

Di kelas 1 SMP Anda telah dapat menentukan kelajuan sebuah benda yang sedang bergerak lurus, yaitu sama dengan jarak yang ...

Ketika di kelas 1 SMP Anda telah mempelajari gerak, yang meliputi definisi gerak, gerak relatif, jarak, perpindahan, kelajuan, kecepatan, dan ...

Analisis Mengenai Dampak Lingkungan AMDAL – Pengertian , Peran, Kegunaan, dan Perlunya AMDAL Analisis Mengenai ...

Jenis Jenis Pengelolaan Sumber Daya Alam Berdasarkan Prinsip Berwawasan Lingkungan dan Berkelanjutan Pengelolaan sumber daya ...

Penjelasan Lengkap Jenis Jenis dan Persebaran Sumber Daya Alam di Indonesia Jenis Jenis dan Persebaran ...

Pengertian Sumber Daya Alam dan Persebarannya Pengertian Sumber Daya Alam Sumber daya alam adalah semua ...

Usaha Usaha Yang Dilakukan Dalam Pelestarian Lingkungan Sebagian dari hewan-hewan dan tumbuh-tumbuhan Indonesia kini telah ...

Faktor Penyebab Kerusakan Hewan dan Tumbuhan Serta Dampaknya Terhadap Kehidupan Faktor-faktor yang menyebabkan kerusakan hewan ...

Penggolongan Hutan Dan Jenis Jenis Hutan di Indonesia Serta Pemanfaatannya Penggolongan Hutan Hutan dapat digolongkan ...

PENJELASAN TERLENGKAP TENTANG ANALISIS SEBARAN HEWAN DAN TUMBUHAN DI INDONESIA Persebaran Tumbuhan di Indonesia Indonesia ...

Macam Jenis Penyebaran Komunitas Hewan di Dunia dan Contohnya Keadaan iklim sangat berpengaruh terhadap keadaan ...

Penjelasan Lengkap Aspek Persebaran Komunitas Tumbuhan di Dunia Pada tahun 1889 C. Hart Meeriem, seorang ...

Penjelasan Bentuk dan Upaya Pelestarian Lingkungan Hidup Pelestarian lingkungan hidup merupakan yang tinggi serta berkelanjutan ...

Penjelasan Lengkap Pengertian Lingkungan Hidup Alamiah dan Lingkungan Hidup Binaan Manusia hidup di muka bumi ...