15 Contoh Soal Dan Pembahasan Materi Peluang Kejadian Matematika
Setelah kita bahas tentang peluang kejadian pada postingan sebelumnya, kali ini kita bahas tentang Contoh soal dan pembahasan materi peluang matematika. Untuk mengerjakan soal dibawah ini di sarankan kepada pembaca untuk memahami kembali materi peluang pada artikel : Materi Peluang Matematika , Pengertian Dan Rumus Soal terlengkap
Perhatikan dan simaklah soal soal tentang materi peluang keajdian dibawah ini:
Soal 1 -3 menggunakan rumus aturan perAnda
Nomor 1.
Dari 3 orang siswa akan dipilih untul menjadi ketua kelas, sekretaris dan benda hara dengan aturan bahwa seseorang tidak boleh merangkap jabatan pengurus kelas. Tentukan banyaknya cara pemilihan pengurus tersebut.
Penyelesaian:
Untuk posisi ketua kelas dapat dipilih dari 3 orang sehingga posisi ketua kelas dapat dipilih dengan 3 cara. Untuk posisi sekretaris karena ketua kelas sudah terisi oleh satu orang maka posisi sekretaris hanya dapat dipilih dari 2 orang yang belum terpilih menjadi pengurus kelas sehingga posisi sekretaris dapat dipilih dengan 2 cara, sedangkan untuk posisi bendahara karena posisi ketua kelas dan sekretaris sudah terisi maka posisi bendahara hanya ada satu pilihan sehingga posisi bendahara dapat dipilih dengan 1 cara.
Jadi, banyaknya cara pemilihan ada 3 x 2 x 1 = 6 cara.
Nomor 2.
Dari kota A ke kota B dapat dilalui 4 jalur, sedangkan dari kota B ke kota C dapat dilalui 2 jalur. Berapa jalur dapat dilalui dari kota A ke kota C melewati kota B?
Penyelesaian:
NAB = 4 jalur
NBC = 2 jalur
NAC = NAB x NAC
= 4 x 2 = 8
Nomor 3.
Dari angka-angka 2,3,4,5,dan 6 akan dibuat bilangan ratusan dengan syarat tidak boleh ada angka yang diulang. Tentukan banyaknya bilangan yang terjadi.
Penyelesaian:
| Ratusan | Puluhan | Satuan |
| 5 | 4 | 3 |
Banyaknya bilangan = 5 x 4 x 3 = 60
Jadi, banyaknya bilangan ratusan yang terjadi ada 60 buah.
Soal n0 4 – 5 menggunakan rumus Factorial
Nomor 4.
Tentukan nilai dari ![]()
Penyelesaian:

Nomor 5.
Tentukan nilai n yang memenuhi ![]()
Penyelesaian:

Jadi, nilai n yang memenuhi adalah = 4
Soal no 6 – 9 menggunakan rumus permutasi
Nomor 6.
Hitunglah nilai dari 8P5
Penyelesaian:

Nomor 7.
Tentukan nilai n apabila (n-1)P2=20
Penyelesaian:

Jadi, nilai n adalah 6
Nomor 8.
Dari 5 orang akan dipilih 3 orang untuk menjadi pengurus RT yang terdiri dari ketua, sekretaris dan bendahara. Tentukan banyaknya cara pemilihan yang mungkin.
penyelesaian:

Jadi, banyaknya cara pemilihan adalah 60 cara.
Nomor 9.
Tentukan banyaknya susunan yang dapat dibuat dari kata “MATEMATIKA”
Penyelesaian:
n = 10 ; M = 2; A = 3 ; T = 2

Jadi, banyaknya susunan kata yang dapat dibuat ada 151.200 buah.
Soal no 10 menggunakan rumus permutasi siklis
Nomor 10.
Pada suatu rapat dihadiri oleh 6 orang yang duudk mengelilingi sebuah meja bundar. Berapa banyak susunan duduk yang dapat terjadi?
Penyelesaian:
P = (n-1)!
= (6-1)!
= 5!
= 5 x 4 x 3 x 2 x 1
= 120
Jadi, banyaknya susunan duduk yang dapat terjadi ada 120 cara
Soal no 11 menggunakan rumus kombinasi
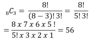
Nomor 11.
Tentukan nilai dari C83
Penyelesaian:

Soal no 12- 15 menggunakan rmus peluang suatu kejadian
Nomor 12.
Tentukan ruang sample dari pelemparan dua buah dadu
Penyelesaian:

Jadi ruang sampelnya adalah
{(1,1)(1,2)(1,3)(1,4)(1,5)(1,6)(2,1)(2,2)(2,3)(2,4)(2,5)(2,6)(3,1)(3,2)(3,3)(3,4)(3,5)(3,6)(4,1)(4,2)(4,3)(4,4)(4,5)(4,6)(5,1)(5,2)(5,3)(5,4)(5,5)(5,6)(6,1)(6,2)(6,3)(6,4)(6,5)(6,6)}
Nomor 13.
Dua buah uang logam dilempar undi sebanyak 50 kali. Berapakan frekuensi harapan muncul satu angka dan satu gambar?
Penyelesain:
n = 50 kali
S = {(A,A) (A,G) (G,A) (G,G)} → n (S) = 4
A = kejadian muncul satu angka dan satu gambar
= {(A,G) (G,A)} -> n (A) = 2

Nomor 14.
Sebuah dadu dilempar undi sekali. Berapa peluang muncul:
- Mata dadu genap, dan
- Mata dadu bukan genap
Penyelesaian:
S = { 1,2,3,4,5,6,) → n(S) = 6
- Muncul mata dadu genap
A = {2,4,6} → n (A) = 3

- Muncul mata dadu bukan genap
P(A) + p (Ac)=1
½ + P(Ac)=1
P(Ac)= ½
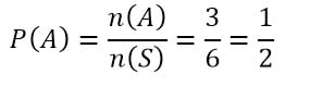
Nomor 15.
Sebuah dadu dilempar undi sekali. Tentukan peluang muncul mata dadu genap atau prima.
Penyelesaian:
A = kejadian muntul mata dadu genap
= {2,4,6} → n(A) = 3
B = kejadian muncul mata dadu prima
= {2,3,5} → n(B) = 3

Demikian contoh soal dan pembahasan tentang materi peluang yang bisa kami sajikan untuk para pembaca. Semoga artikel ini bermanfaat dan dapat membantu pembaca dalam mengerjakan tugas sekolah. Sampai bertemu pada artikel selanjutnya.. “TETAP SEMANGAT!”
Originally posted 2024-04-10 15:05:09.





