Cara Cepat Menentukan Invers Fungsi dan Invers Dari Fungsi Komposisi
Setelah kita pelajari tentang fungsi komposisi pada postingan sebelumnya, kali ini materi yang akan dipelajari adalah tentang fungsi invers. Dalam bahasaa ynag sederhana, invers dapat diartikan sebagai kebalika. Invers fungsi adalah fungsi kebalikan yang diperoleh dengan merekayasa fungsi asalnya sehingga peneliti cukup memasukkan nilai f(x) sehingga x dapat ia peroleh.
Invers Suatu Fungsi
Invers suatu fungsi disebut pula balikan suatu fungsi. Invers dari fungsi f dilambangkan dengan f-1.

Fungsi Invers
Invers suatu fungsi belum tentu berbentuk fungsi. Jika invers suatu fungsi berbentuk fungsi, invers tersebut disebut fungsi invers.
Fungsi f mempunyai fungsi invers jika dan hanya jika f suatu fungsi bijektif (korespondensi satu-satu). Misalkan f : A → B bijektif maka f memetakan setiap x € A ke y € B dan f-1 memetakan setiap y € B ke x € A. Dengan kata lain,
f (x) = y ↔ f-1 (y) = x
Daerah hasil (range = R ) f adalah daerah asal f-1dan daerah asal f adalah daerah hasil f-1(Rf = Df-1 dan Df = Rf-1).
f : A → B
f = {(a1 , b1 ), (a2 , b2) , (a3 , b3)}

f-1 : B → A
f-1 = {( b1 , a1 ), (b2 , a2) , (b3 , a3)}

Dimisalkan g bukan suatu fungsi bijektif. Fungsi g dapat mempunyai fungsi invers jika daerah asalnya dibatasi sedemikian sehingga fungsi tersebut menjadi fungsi bijektif.
Menentukan Invers dari Suatu Fungsi
Langkah – langkah menentukan inverst suatu fungsi f(x) sebagai berikut.
- Misalkan f(x) sebagai variable y.
- Selesaikan persamaan y = f(x) sehingga diperoleh x sebagai fungsi dari y atau x = f-1 (y).
- Ganti variabel y pada f-1 (y) dengan x sehingga diperoleh f-1 (x) yang merupakan invers dari f(x).
Invers dari Fungsi Komposisi
Dimisalkan f dan g merupakan fungsi bijektif, invers dari fungsi komposisi (f ₒ g) (x) adalah (f ₒ g)-1 (x) yang dirumuskan sebagai berikut.
(f ₒ g)-1(x)=(g-1ₒf-1)(x)
Dengan cara yang sama diperoleh invers dari fungsi komposisi sebagai berikut.
(g ₒ f)-1(x)=(f-1ₒg-1)(x)
(f ₒ g ₒ h)-1(x)=(h-1 ₒ g-1 ₒ f-1)(x)
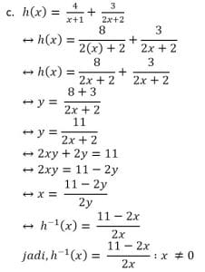
Tentukan invers fungsi – fungsi berikut.

Penyelesaian:



Setalah paham dengan contoh soal diatas, berikut ini mari kita mulai kerjakan soal latihan dibawah ini dengan mengikuti alur dari cara peneyelesaiannya.
Soal Latihan !
Diketahui f(x) 4x + 3. Tentukan inversnya dengan mengikuti dan melengkapi isian langkah langkah penyelesaian soal berikut.
→ Invers f(x) ditentukan dengan cara berikut.

Dengan diberikannya materi Invers fungsi dan Invers dari Fungsi Kompisisi, diharapakan dapat membantu dan menambah wawasan para pembaca khusus nya dalam pelajaran matematika materi komposisi. Semoga artikel ini bermanfaat, sampai bertemu dipostingan selanjutnya…
Originally posted 2024-04-12 03:06:48.





